十大正规网赌网址医疗保障局
关于印发《十大正规网赌网址定点医药机构医保信用评价实施细则》的通知
烟医保发〔2025〕23号
各区市医疗保障局,局机关各科室,市医保中心:
为贯彻落实《山东省定点医药机构医保信用评价办法》,结合我市工作实际,制定《十大正规网赌网址定点医药机构医保信用评价实施细则》,现印发给你们,请认真遵照执行。
十大正规网赌网址医疗保障局
2025年10月20日
(此件主动公开)
十大正规网赌网址定点医药机构医保信用评价实施细则
第一章 总 则
第一条 为创新医保基金监管体制机制,建立健全医疗保障信用管理体系,规范定点医药机构医保基金使用和医疗保障服务协议履行,营造诚实、自律、守信、互信的医疗保障信用环境,根据《国务院办公厅关于加强医疗保障基金常态化监管的实施意见》《山东省社会信用条例》《山东省定点医药机构医保信用评价办法》等有关规定,制定本实施细则。
第二条 医保信用评价是指医疗保障部门依据相关法律法规政策规定和协议约定,对医疗保障定点医疗机构和定点零售药店(以下简称定点医药机构)进行信用信息归集和信用评价,并根据评价结果实施信用分级分类监管和奖惩措施,以规范定点医药机构合法合规合理使用医疗保障基金的行为。
全市各级医疗保障经办机构对定点医药机构的医保信用评价工作,适用本实施细则。
第三条 定点医药机构医保信用管理遵循依法依规、客观公正、公开透明、动态调整、共建共享、奖惩结合的原则,维护定点医药机构的合法权益。
第四条 市医疗保障行政部门负责全市定点医药机构医保信用评价的组织管理工作,监督指导医疗保障经办机构实施定点医药机构医保信用评价工作,各区市医疗保障行政部门负责属地定点医药机构医保信用评价工作。
市级医疗保障经办机构负责市直结算定点医药机构医保信用评价工作,各区市医疗保障经办机构负责辖区内定点医药机构信用评价具体工作,也可委托第三方服务机构开展信用评价工作。
第二章 信息采集
第五条 各级医疗保障行政部门负责医保信用评价信息平台管理,医疗保障经办机构使用信用评价信息平台组织开展医保信用评价信息数据采集、上传、记录、存储等工作。
第六条 各级医疗保障部门应依法依规采集、共享和管理定点医药机构医保信用信息,医保信用信息主要来源于医保业务平台、医保智能监控系统、医保基金日常审核及监管稽核等。
第七条 各级医疗保障部门应当建立健全定点医药机构医保信用信息数据库,及时、准确记录定点医药机构的信用行为并实现动态更新,做到可查可核可溯。
第三章 信用评价
第八条 定点医药机构医保信用评级的内容主要包括,是否按照有关法律法规、政策规定和服务协议约定,行使权利、履行义务,按规定提供医药服务,提高服务质量,合理使用医疗保障基金等。
医疗保障经办机构或委托的第三方服务机构从医保管理、基金使用、医药服务、行业规范等方面,综合对定点医药机构开展信用评价。可以依据协议履约评价结果确定定点医药机构信用评价等级,实现信用评价与履约评价结果相对照。
第九条 定点医药机构医保信用评价按住院、门诊、个账业务实行分类计分制管理,每类业务基础分为100分,分值年度有效,不跨年度累计。评价实行等级制管理,从高至低分为A+、A、B、C、D五个信用等级。
定点医药机构具有《国务院关于建立完善守信联合激励和失信联合惩戒制度加快推进社会诚信建设的指导意见》(国发〔2016〕33号)规定的四类严重失信行为信息的,或在信用等级评定中有严重弄虚作假行为的,在该评定年度内直接评定为D级。违反《医疗保障基金使用监督管理条例》规定,被医疗保障或其他行政部门行政处罚过的医药机构,在该评定年度内不得评为A+级。
(一)A+:100分(含)以上;
(二)A:90分(含)-100分;
(三)B:75分(含)-90分;
(四)C:60分(含)-75 分;
(五)D:60分以下。
第十条 开展基本医疗、生育医疗住院业务(以下简称:住院业务)的定点医疗机构按照附件1《住院业务信用评价表》、附件4《数据指标评价表》、附件6《十大正规网赌网址药品(医用耗材)集采政策落地执行情况评估指标表》分别量化计分;开展门诊慢特病、普通门诊(含居民“两病”)、谈判药品“双通道”配售等门诊业务(以下简称:门诊业务)的定点医药机构按照附件2《门诊业务信用评价表》、附件5《数据指标评价表(门诊)》、附件6《十大正规网赌网址药品(医用耗材)集采政策落地执行情况评估指标表》量化计分;考核年度内仅开展医保个人账户支付业务(以下简称:仅个账业务)的定点医药机构按附件3《仅个账业务信用评价表》量化计分。
同时开展住院业务和门诊业务的定点医疗机构,分别按照住院、门诊业务量化计分后,按照以下公式计算最终信用评价得分:信用评价得分=住院业务得分*0.5+门诊业务得分*0.5。
第十一条 评价指标实行动态管理,根据工作安排或政策调整等,医疗保障行政部门可对下一评价周期的评价指标予以调整。
实行一体化管理村卫生室的医保信用评价,纳入所属乡镇(街道)卫生院、社区卫生服务中心信用评价。
定点医药机构自查自纠并将违约费用全额退还医保基金的,相关失信行为不纳入信用评价。
第十二条 定点医药机构信用评价每年度开展一次,原则上医疗保障经办机构于每年6月底前完成上一年度定点医药机构的信用等级评定,并将评价结果录入医保信用评价信息管理系统,向同级医疗保障行政部门备案。
第十三条 医保经办机构应当及时将医保信用预评价结果通过《定点医药机构医保信用评级告知书》等多种渠道告知定点医药机构。定点医药机构认为信用评价信息、信用评分和信用等级有以下情形之一的,可以提出信用异议:
(一)信用评价信息与事实不符;
(二)信用评分和信用等级计算错误。
定点医药机构应当在收到书面告知之日起15个工作日内提出信用异议申诉,逾期视为认同告知结果。
第十四条 信用异议申诉可以向医保服务协议所属市、区市医疗保障经办机构申请,申请材料包括:
(一)申请书,说明申请修改的理由、事实、依据;
(二)有关证据材料。
第十五条 市、区市医疗保障经办机构收到信用异议的申请后,按规定对申诉进行调查核实,并于15个工作日内告知申请人。情况复杂的,可适当延长,最长不超过30个工作日。
定点医药机构与医疗保障经办机构就医保信用评价产生争议的,可以自行协商解决或者请求同级医疗保障行政部门协调处理。
第四章 评价结果应用
第十六条 医疗保障部门根据评定信用等级情况,按照本章规定对不同信用等级的定点医药机构进行管理,将定点医药机构医保信用评价结果与履约评价相结合,通过协议管理在资金结算等方面采取激励惩戒措施。
第十七条 对评为A+级的定点医药机构可按下列规定进行管理:
(一)降低日常现场检查频次,除年度稽核检查、根据投诉举报、大数据筛查等进行的专项检查外,不另行对其开展检查;
(二)其他鼓励性措施。
第十八条 对评为A级及以上的定点医药机构,在先进医疗机构评选、优秀医保集体推荐时优先予以推荐。
对评为A、B级的定点医药机构,可以采取日常检查和专项检查相结合的方式开展监督检查。
第十九条 对评为C级的定点医药机构,可以在日常监管中列为重点预警监管对象,适当增加监督检查频次,采取日常检查、定期检查和专项检查相结合的方式开展监督检查。
第二十条 对评为D级的定点医药机构可按下列规定进行管理:
(一)列入重点监管对象,加大监督检查频次;
(二)由医疗保障经办机构根据具体失信行为,按照医保服务协议约定,中止医保服务协议或解除服务协议。
第五章 信用修复
第二十一条 信用修复适用于定点医药机构被认定且记入医保信用信息数据库的失信信息的信用修复活动,信用修复包括自然修复和依申请修复。
定点医药机构失信信息自认定之日起满1年后自然修复。
定点医药机构积极改善自身信用状况,按照规定的条件和程序,向医疗保障经办机构提出修复申请。
第二十二条 定点医药机构申请信用修复应当提交以下材料:
(一)申请书,说明申请修改的理由、事实、依据;
(二)有关证据材料。
第二十三条 市、区市医疗保障经办机构收到信用修复的申请后,按规定对申请进行调查核实,并于15个工作日内给予回复,情况复杂的,可适当延长,最长不超过30个工作日。
第六章 附 则
第二十四条 为提高定点医药机构参与医疗保险体系建设的积极性,在百分制基础上,设立年度加分事项,根据定点医药机构年度内助力医保工作情况,予以适当加分奖励。
第二十五条 定点医药机构医保信用等级评价结果自公布之日起至下一评价结果公布之日内有效。
第二十六条 本实施细则由十大正规网赌网址医疗保障局负责解释。
第二十七条 本实施细则自2025年11月20日起施行,国家、省有新规定的从其规定。
附件:1.住院业务信用评价表
2.门诊业务信用评价表
3.仅个账业务信用评价表
4.数据指标信用评价表(住院)
5.数据指标信用评价表(门诊)
6.十大正规网赌网址药品(医用耗材)集采政策落地执行情况评估指标表
7.定点医药机构医保信用评价报告
8.定点医药机构医保信用评级告知书
9.定点医药机构医保信用异议申请书
10.定点医药机构医保信用修复申请书
11.定点医药机构医保信用修复告知书
附件1
住院业务信用评价表
一级指标 | 二级指标 | 考核内容及要求 | 评分标准 |
基础管理 (15分) | 1.机构设置 | 建立健全医保管理服务部门,配备专(兼)职管理人员,100张床位以上医疗机构应设立医疗保险办公室和专职工作人员。 | 达不到要求扣2分 |
2.诊疗资质 | ①取得合法的医疗机构资质,在行政审批、卫生健康、中医药等部门核准的诊疗科目、床位数及服务设施范围内提供医疗服务;卫生技术人员数量配备符合《医疗机构基本标准》并依法执业,按照注册的执业地点、执业类别、执业范围,从事相应的医疗、预防、保健活动;②卫生技术人员注册单位与实际单位相符。 | 每项达不到要求扣2分 | |
3.规章制度 | 建立健全医保基金使用内部管理制度,包括医保管理制度、财会制度、统计信息管理制度、药品耗材管理制度等。 | 每项制度达不到要求扣1分 | |
4.信息系统 | ①做好医保网络安全接入工作,确保医保专网安全。做好医保结算系统、信息接口及业务终端安全管理。配合医保部门开展攻防演练和网络安全检查等相关工作;②做好医保结算数据安全管理,保护参保人个人数据,不得非法对外提供、交易医保相关信息数据;③做好医保结算系统运维管理工作,确保医保业务稳定、不间断运行;④按照医保信息化建设要求,在规定时间内做好定点端系统调整优化、医保相关接口改造等工作,实现与医保信息系统有效对接。 | ①②出现网络安全或数据安全事件每次扣2分;③达不到要求扣1分;④每项达不到要求扣0.5分 | |
5.价格管理 | ①严格执行医保部门制定的医药价格政策,不得对医保患者实行不公平、歧视性高价;②执行价格有关法律规定和医疗服务价格项目规范,按明码标价要求公示医药价格与收费标准;③非公立医疗机构的医保药品整体价格应持续保持在省确定的年度量价比较指数监测值范围内;④收费印章与定点医疗机构名称应当相符(已报备除外)。 | 每项达不到要求扣1分 | |
基础管理 (15分) | 6.医保编码 | ①按规定及时做好定点医疗机构、医保医师、医保护士编码工作,及时入库,动态调整,国家赋码后同步更新;②配合做好医保目录、费用结算清单等国家统一编码落地实施工作;③定期校验药品、医用耗材编码,并按要求上报校验结果。 | 每项达不到要求扣1分 |
7.报送制度 | ①医疗机构信息发生变更后按要求办理变更备案手续;②按要求报送智能审核、稽核检查所需资料或数据;③新开展的医保目录内诊疗项目、新增医疗服务价格项目等,需报送医保部门审核备案。 | 每项达不到要求扣1分 | |
8.追溯码采集 | 按照追溯码信息采集长效机制相关要求,完整、规范、及时上传追溯码数据,确保达到接入率、上传率、无码率、准确率等指标要求。 | 未按要求接入的,每次扣0.1分;上传率未达要求的,每次扣0.2分;无码率未达要求的,每次扣0.2分;准确率未达要求的,每次扣0.2分。 全年最多扣2分。 | |
9.数据质量 | ①确保向医疗保障经办机构传输的参保人员就医、结算及其他相关信息均由信息系统自动生成;②严格执行信息网络管理有关规定,做好数据备份;③传输数据不得人为篡改作假;④及时、准确、完整上传基金结算清单和住院电子病历数据,并做好数据质控工作。 | ①②③每项达不到要求扣1分;④每次达不到要求扣0.1分 | |
10.配合检查 | 配合医疗保障部门开展稽核考核工作,按规定在稽核、考核文书上签字确认。 | 达不到要求扣2分 | |
行为规范 (50分) | 11.就医核验 | ①执行实名就医和购药管理规定,核验参保人员的医保有效凭证,做到人证相符;②不得以任何理由收集、留存参保人员医保有效凭证;③按规定为参保人员办理医保登记手续。 | 每项达不到要求扣1分 |
12.在院核查 | 在院率≥90%; 参保人员在院率=当次检查实际在院人数/当次检查应在院人数*100% | 达不到要求的每降低1个百分点扣0.1分 | |
行为规范 (50分) | 13.知情同意 | ①因病情需要使用医保不予支付或超限价的药品、诊疗或医用耗材的,应书面告知参保人员,严格执行全额自费项目知情同意签字制度;②向参保人员提供住院费用结算单和住院费用日清单等;③按规定与住院参保人员和自行剖宫产参保人员签订协议;④按要求与患者签订外送样本检测知情同意书;⑤不得通过虚假宣传、降低起付线、返现回扣、赠送贵重物品等方式,诱导参保人员就医或消费。 | 每项达不到要求扣0.5分 |
14.接诊要求 | ①严格掌握入出院标准或重症监护病房使用标准;②不得无故拒收、推诿参保人员或减少服务、降低服务标准;③不得通过要求参保人员在住院期间到门诊交费、到其他医药机构自费购买或另设自付账号等方式转嫁医疗费用;④非医保医师或暂停资格医保医师为参保人员服务发生的医疗费用不得纳入医保结算;⑤不得挂床住院、分解住院。 | 每项达不到要求扣1分 | |
15.诊疗行为 | ①为参保人员提供基本医疗服务,按照诊疗规范做到合理诊疗、合理用药;②超出医保目录限定支付范围和标准的诊疗费用不得纳入医保结算;③严格执行出院带药、诊疗规定;④不得将出院的后续检查治疗费用或医用耗材费用纳入当次住院费用结算;⑤不得重复收费、超标准收费、分解项目收费等。 | 每项达不到要求扣1分 | |
16.外诊备案 | ①参保人员就诊期间,因条件限制需要到其他定点医疗机构或第三方检验机构(依法合规设立的)进行检查治疗时,定点医疗机构应于检查治疗前为参保人员办理外检外治手续并登记备案;②定点医疗机构送外检查(验)的医保支付范围内项目,外检机构必须符合相关规定。 | 每项达不到要求扣1分 | |
17.结算要求 | ①按规定的程序与时限,完成对账并正确上传数据;②按规定将参保人员发生的相关医疗费用纳入医保结算;③按规定为参保人员及时结算医疗费用,提供“一站式服务、一窗口办理、一单制结算”;④不得将参保人员死亡后费用、串换费用、“搭车”检查治疗等费用纳入医保结算;⑤医嘱、病程记录、检查结果、诊断和治疗单记录要与票据、费用清单等相吻合。 | 每项达不到要求扣1分 | |
行为规范 (50分) | 18.档案管理 | ①提高病案首页质量,按照国家统一规定规范填写病案首页;②接诊意外伤害的参保人员时,须如实及时完整记录致伤原因和意外受伤的情形,并由参保人员或家属签字确认,按要求审核并留存《意外伤害情况说明表》备查;③按规定书写、保管医疗文书便于核查。④留存物理治疗与康复治疗、中医及民族医治疗、精神治疗、口腔治疗等记录便于核查。 | ①达不到要求扣1分;②③④每项达不到要求扣0.5分 |
19.费用审核 | ①在规定时限内上传符合审核要求的电子病案信息或相关佐证材料;②不得人为篡改、造假医保基金结算清单、电子病案信息等数据或相关佐证材料;③按照医保基金结算清单编码填报规范要求正确入组。 | ①②每项达不到要求扣1分;③每高于同级别DRG付费医院疑点数据审核不通过率0.1‰扣0.1分。 | |
20.运行分析 | ①按要求开展DRG、PDPM、床日、生育分娩等付费方式改革,不得将经济指标与人员绩效直接挂钩;②充分利用本机构信息管理系统和统计报表等资料,配合医保数据工作组相关工作;③每季度对医保基金的使用情况进行总结分析,制定切实可行的落实措施,并报送上季度医疗费用的管控情况的材料;④针对医保经办机构发送的异常数据指标提醒函,在规定时间内回复整改措施完成情况。 | 每项达不到要求扣0.5分 | |
21.异地就医 | ①按规定对异地就医参保人员提供合理的医疗服务,办理联网结算,与当地参保人员一并纳入医保管理服务,无正当理由不得拒绝为异地参保人员即时结算费用;②按照规定为本地参保人员代传代报异地医疗费用。 | 每项达不到要求扣1分 | |
22.药械集采 | ①严格执行药品、医用耗材集中采购等相关政策,集采报量合理、集采周期内按时达到相应序时进度、集采周期结束完成约定采购量等;②严格执行网上采购相关要求;③保障群众多样化用药需求,不搞“一刀切”停用未中选药品和医用耗材;④按照药品和医用耗材集采结余留用工作要求,如实填报结余留用考核相关指标信息;⑤按照集采直接结算工作要求及时做好医药企业通过招采系统上传的中选药品、耗材结算费用明细和发票审核工作,直接结算货款不足部分按要求及时缴纳至医保经办机构相应账户。 | 赋分5分,详细考核指标见附件6,年度扣分情况按照附件6的评估情况予以折算。 | |
行为规范 (50分) | 23.药耗管理 | ①不得出现药品、医用耗材“溢库”问题;②严格掌握药品限定支付范围并留存用药依据便于核查;③建立高值医用耗材使用分析评价,严格控制高值医用耗材使用比例;④按规定管理使用院内制剂;⑤建立特殊药品、医用耗材内部审批制度,严格掌握其适用范围,保存并按规定向参保人员提供相关使用记录;⑥在业务配备能力范围内,储备医保目录内药品、医用耗材;⑦严格落实药品、耗材“带码采购”工作。 | 每项达不到要求扣1分 |
24.基金管理 | ①被医保部门拒付的医疗费用、超支分担机制下按比例承担费用等,应当在规定时限内作相应的财务处理,并将核销账凭证及完成情况说明加盖公章上报各级经办机构;②按规定时限退还违约费用,稽核退费、预付金以及不足抵扣的集采药品耗材货款等;③每月10日前医疗机构与各级经办机构核对上月所拨付的资金数额,核对无误后,按要求加盖公章报送至各级经办机构财务。 | ①未按期核销扣1分;②未按规定时限退回每次扣0.1分;③未按时核对报送每次扣0.1分。 | |
服务质量 (10分) | 25.宣传培训 | ①建立医保政策宣传专区,政策宣传内容要及时更新替换;②建立定期培训制度,每季度至少组织1次对医务人员的医保政策培训,保存好相关培训资料;③遇到重大政策调整时,要及时组织专项培训。 | 每项达不到要求扣1分 |
26.便民服务 | ①设立导医台或医保咨询窗口,为参保人员提供就医指引和日常医保政策解答;②按规定承担发票丢失备案服务工作;③建设有医保工作站(点)的医疗机构,应按照《山东省标准化医保工作站(点)建设规范》标准建设,有开展医保服务所需的服务场地和网络软硬件条件,合理设置医保服务窗口和配备工作人员,在明显位置设置医疗保障官方标识,公示医保服务事项,摆放办事指南、宣传折页等资料,按《山东省基层医疗保障服务事项清单》明确的医保服务事项为参保人员提供医保服务。 | 每项达不到要求扣1分; 因达不到服务标准被取消医保工作站(点)的扣2分。 | |
27.服务成效 | ①医疗机构应主动提供医保服务,对参保人员提出的医保方面的合理要求,不得以任何理由拒绝、推诿、拖延;②为提升医疗机构服务成效,医保部门定期开展服务成效评价,评价结果纳入协议履行评价。 | ①如发生群众投诉,经属地医保部门核查属实的,每次扣1分;被省级及以上部门通报的,扣2分;造成重大影响的,扣5分。 ②住院服务成效评价扣分=5*(1-住院服务成效评价满意率) | |
服务质量 (10分) | 28.个人账户 | ①按规定为符合刷卡条件的参保人员提供刷卡或使用医保码就医服务,确保医保卡“一卡通行”通畅;②支持参保人员本地及省内医保个人账户家庭共济就医结算服务。 | 每项达不到要求扣1分 |
29.应急预案 | 制定应急预案,因信息系统出现故障并影响参保人员就医结算时,须及时通知医疗保障经办机构并启动应急预案,做好解释工作。 | 达不到要求扣1分 | |
数据指标(25分) | 30.数据指标 | 数据指标协议履行评价表(住院) | |
其他行为 | 违反协议的其他事项,每次扣1分;因违约违规、投诉举报等被医保部门中止协议的,每次扣10分 | ||
注:1.医保基金稽核的评价工作采取非全量数据检查和年度全量数据检查相结合的方式。非全量数据检查发现违规问题每次扣减0.1分;年度全量数据检查按查处违规事项扣减相应分数。
2.基础管理(15分),行为规范(50分),服务质量(10分),数据指标(25分),共计100分。
附件2
门诊业务信用评价表
一级指标 | 二级指标 | 考核内容及要求 | 评分标准 |
基础管理 (15分) | 1.机构设置 | 建立医保管理部门,配备专(兼)职管理人员,明确并履行管理职责。 | 达不到要求扣2分 |
2.诊疗资质 | ①取得合法的医疗机构资质,在行政审批、卫生健康、中医药等部门核准的诊疗科目、服务设施范围内提供医疗服务;卫生技术人员数量配备符合《医疗机构基本标准》并依法执业,按照注册的执业地点、执业类别、执业范围,从事相应的医疗、预防、保健活动;②卫生技术人员注册单位与实际单位相符。 | 达不到要求扣2分 | |
3.规章制度 | 建立健全医保基金使用内部管理制度,包括医保管理制度、财会制度、统计信息管理制度、药品耗材管理制度等。 | 达不到要求扣1分 | |
4.信息系统 | ①做好医保网络安全接入工作,确保医保专网安全。做好医保结算系统、信息接口及业务终端安全管理。配合医保部门开展攻防演练和网络安全检查等相关工作;②做好医保结算数据安全管理,保护参保人个人数据,不得非法对外提供、交易医保相关信息数据;③做好医保结算系统运维管理工作,确保医保业务稳定、不间断运行;④按照医保信息化建设要求,在规定时间内做好定点端系统调整优化、医保相关接口改造等工作,实现与医保信息系统有效对接。 | ①②出现网络安全或数据安全事件每次扣2分;③达不到要求扣1分;④每项达不到要求扣0.5分 | |
5.价格管理 | ①严格执行医保部门制定的医药价格政策,不得对医保患者实行不公平、歧视性高价;②执行价格有关法律规定和医疗服务价格项目规范,按明码标价要求公示医药价格与收费标准;③非公立医疗机构的医保药品整体价格应持续保持在省确定的年度量价比较指数监测值范围内;④收费印章与定点医疗机构名称应当相符(已报备除外)。 | 每项达不到要求扣1分 | |
基础管理 (15分) | 6.医保编码 | ①按规定及时做好定点医药机构、医保医师、医保护士编码工作,及时入库,动态调整,国家赋码后同步更新;②配合做好医保目录、费用结算清单等国家统一编码落地实施工作;③定期校验药品、医用耗材编码,并按要求上报校验结果。 | 每项达不到要求扣2分 |
7.报送制度 | ①按要求报送医保基金拨付使用和药品、耗材货款结算拨付情况;②医药机构信息发生变更后按要求办理变更备案手续;③按要求报送智能审核、稽核检查所需资料;④新开展的医保目录内诊疗项目、新增医疗服务价格项目等,需报送医保部门审核备案。 | 每项达不到要求扣2分 | |
8.追溯码采集 | 按照追溯码信息采集长效机制相关要求,完整、规范、及时上传追溯码数据,确保达到接入率、上传率、无码率、准确率等指标要求。 | 未按要求接入的,每次扣0.1分;上传率未达要求的,每次扣0.2分;无码率未达要求的,每次扣0.2分;准确率未达要求的,每次扣0.2分。 全年最多扣2分。 | |
9.数据质量 | ①确保向医疗保障经办机构传输的参保人员就医、结算及其他相关信息均由信息系统自动生成;②严格执行信息网络管理有关规定,做好数据备份;③传输数据不得人为篡改作假;④及时、准确、完整上传门诊电子病历、电子处方和进销存数据,并做好数据质控工作。 | 每项达不到要求扣2分 | |
10.配合检查 | 配合医疗保障部门开展稽核考核工作,按规定在稽核、考核文书上签字确认。 | 达不到要求扣2分 | |
行为规范 (55分) | 11.就医核验 | ①执行实名就医和购药管理规定,核验参保人员的医保有效凭证,做到人证相符;②对血液透析、康复治疗等患者门诊治疗进行登记或打卡记录;③不得以任何理由收集、留存参保人员医保有效凭证。 | ①②每项达不到要求扣2分;③达不到要求扣1分 |
12.资格认定 | ①做好门诊慢特病资格、“两病”资格的认定和信息审核、登记、档案留存工作;②不得通过伪造、变更或变造医疗文书等方式,协助参保人员骗取门诊慢特病病种待遇或“两病”待遇;③不得为不符合条件的参保人办理门诊慢特病病种和“两病”待遇认定;④不得超门诊慢特病病种申报和收治范围进行认定和定点变更。 | 每项达不到要求扣2分 | |
行为规范 (55分) | 13.知情同意 | ①主动向参保人员提供门诊费用结算单,建立并执行全额自费项目参保人员知情确认制度,由参保人员个人全部负担的自费项目,须经参保人员或其家属签字确认;②按规定与门诊慢特病参保人员签订协议;③按要求与患者签订外送样本检测知情同意书;④不得通过虚假宣传、降低起付线、返现回扣、赠送贵重物品等方式,诱导参保人员就医或消费。 | 每项达不到要求扣1分 |
14.接诊要求 | ①不得无故拒收、推诿参保人员或减少服务、降低服务标准;②不得将门诊慢特病定额指标分解给参保人员;③非医保医师或暂停资格医保医师为参保人员服务的医疗费用不得纳入医保结算。 | 每项达不到要求扣1分 | |
15.诊疗用药 | ①为参保人员提供基本医疗服务,按照诊疗规范做到合理诊疗、合理用药;②超出医保目录限定支付范围和标准的诊疗费用不得纳入医保结算;③提供门诊服务的医保医师须在注册执业地点按执业范围开展诊疗服务;④参保人员医保结算时,具备资质的药师应现场提供处方审核、调配和用药指导等服务;⑤严格遵守互联网诊疗和《处方管理办法》相关规定,不得出现集中开药、集中诊疗等现象;⑥互联网医院线上复诊续方的药品品种不得超过实体定点医院的首诊处方;⑦不得重复收费、超标准收费、分解项目收费等。 | 每项达不到要求扣1分 | |
16.外诊备案 | ①参保人员因年老体弱、行动不便等原因需要别人代取药的,应执行实名就医和购药管理规定,核验参保人和代办人的医保有效凭证,做到人证相符,并做好信息登记;②参保人员就诊期间,定点医疗机构因条件限制需要到其他定点医疗机构或第三方检验机构(依法合规设立的)进行检查治疗时,定点医疗机构应于检查治疗前为参保人员办理外检外治手续并登记备案;③定点医疗机构送外检查(验)的医保支付范围内项目,外检机构必须符合相关规定。 | 每项达不到要求扣1分 | |
17.结算要求 | ①按规定的程序与时限,完成对账并正确上传数据;②按规定将参保人员发生的相关医疗费用纳入医保结算;③按规定为参保人员及时结算医疗费用,提供“一站式服务、一窗口办理、一单制结算”;④不得将参保人员死亡后费用、串换费用、“搭车”检查治疗、健康体检等费用纳入医保结算;⑤医嘱、处方、诊断和治疗单记录要与票据、费用清单等相吻合。 | 每项达不到要求扣1分 | |
行为规范 (55分) | 18.档案管理 | ①按规定书写、保管医疗文书或门诊慢特病申报材料;②应当凭处方销售医保目录内处方药,外配处方必须由定点医疗机构医师开具,有医师签章;③按照规定时间节点完成药品外配国标版电子处方的正式启用;④按要求做好处方流转工作和互联网问诊购药工作,不得要求患者到指定药店购药;⑤履行药品配备、使用、支付、管理方面职责,配合医保部门做好监督管理;⑥明确“双通道”药品定点医疗机构、责任医师及定点零售药店职责,规范管理流程;⑦留存物理治疗与康复治疗、中医及民族医治疗、精神治疗、口腔治疗等记录便于核查。 | 每项达不到要求扣1分 |
19.医保码应用 | 支持医保码就医购药全流程应用,每月准确上传全流程应用码数据。 | 每月达不到要求扣0.2分 | |
20.费用审核 | ①在规定时限内上传符合审核要求的电子病案信息或相关佐证材料;②不得人为篡改、造假电子病案、处方信息等数据或相关佐证材料;③按时反馈申诉资料,提供佐证材料应准确、完整。 | 每项达不到要求扣1分 | |
21.运行分析 | ①按要求开展APG等付费方式改革,不得将经济指标与人员绩效直接挂钩;②充分利用本机构信息管理系统和统计报表等资料,配合医保数据工作组相关工作;③每季度对医保基金的使用情况进行总结分析,制定切实可行的落实措施,并报送上季度医疗费用的管控情况的材料;④针对医保经办机构发送的异常数据指标提醒函,在规定时间内回复整改措施完成情况。 | 每项达不到要求扣0.5分 | |
22.异地就医 | ①按规定对异地就医参保人员提供合理的医疗服务,办理联网结算,与当地参保人员一并纳入医保管理服务,无正当理由不得拒绝为异地参保人员即时结算费用;②按照规定为本地参保人员代传代报异地医疗费用。 | 每项达不到要求扣1分 | |
23.药械集采 | ①严格执行药品、医用耗材集中采购等相关政策,集采报量合理、集采周期内按时达到相应序时进度、集采周期结束完成约定采购量等;②严格执行网上采购相关要求;③保障群众多样化用药需求,不搞“一刀切”停用未中选药品和医用耗材;④按照药品和医用耗材集采结余留用工作要求,如实填报结余留用考核相关指标信息;⑤按照集采直接结算工作要求及时做好医药企业通过招采系统上传的中选药品、耗材结算费用明细和发票审核工作,直接结算货款不足部分按要求及时缴纳至医保经办机构相应账户。 | 赋分5分,详细考核指标见附件6,年度扣分情况按照附件6的评估情况予以折算 | |
行为规范 (55分) | 24.药耗管理 | ①不得出现药品、医用耗材“溢库”问题;②严格掌握药品限定支付范围并留存用药依据便于核查;③在业务配备能力范围内,储备医保目录内药品、医用耗材;④严格落实药品、耗材“带码采购”工作。 | ①③④每项达不到要求每项扣1分;②达不到要求扣2分 |
25.基金管理 | ①被医保部门拒付的医疗费用、超支分担机制下按比例承担费用等,应当在规定时限内作相应的财务处理,并将核销账凭证及完成情况说明加盖公章上报各级经办机构;②按规定时限退还违约费用,稽核退费、预付金以及不足抵扣的集采药品耗材货款等;③每月10日前医疗机构与各级经办机构核对上月所拨付的资金数额,核对无误后,按要求加盖公章报送至各级经办机构财务。 | ①项未按期核销扣1分;②项未按规定时限退回每次扣0.1分;③项未按时核对报送每次扣0.1分。 | |
服务质量 (10分) | 26.宣传培训 | ①建立医保政策宣传专区,政策宣传内容要及时更新替换;②建立定期培训制度,每季度至少组织1次对医务人员的医保政策培训,保存好相关培训资料;③遇到重大政策调整时,要及时组织专项培训。 | 每项达不到要求扣1分 |
27.便民服务 | ①设立导医台或医保咨询窗口,为参保人员提供就医指引和日常医保政策解答;②按规定承担发票丢失备案服务工作;③建设有医保工作站(点)的医药机构,应按照《山东省标准化医保工作站(点)建设规范》标准建设,有开展医保服务所需的服务场地和网络软硬件条件,合理设置医保服务窗口和配备工作人员,在明显位置设置医疗保障官方标识,公示医保服务事项,摆放办事指南、宣传折页等资料,按《山东省基层医疗保障服务事项清单》明确的医保服务事项为参保人员提供医保服务。 | 每项达不到要求扣1分; 因达不到服务标准被取消医保工作站(点)的扣2分。 | |
28.服务成效 | ①医疗机构应主动提供医保服务,对参保人员提出的医保方面的合理要求,不得以任何理由拒绝、推诿、拖延;②为提升医疗机构服务成效,医保部门定期开展服务成效评价,评价结果纳入协议履行考核。 | ①如发生群众投诉,经属地医保部门核查属实的,每次扣1分;被省级及以上部门通报的,扣2分,造成重大影响的,扣5分。 ②门诊服务成效评价扣分=5*(1-门诊服务成效评价满意率) | |
服务质量 (10分) | 29.个人账户 | ①按规定为符合刷卡条件的参保人员提供刷卡或使用医保码就医购药服务,确保医保卡“一卡通行”通畅;②支持参保人员本地及省内医保个人账户家庭共济就医结算服务。 | 每项达不到要求扣2分 |
30.应急预案 | 制定应急预案,因信息系统出现故障并影响参保人员就医结算时,须及时通知医疗保障经办机构并启动应急预案,做好解释工作。 | 达不到要求扣1分 | |
数据指标(20分) | 31.数据指标 | 数据指标协议履行评价表(门诊) | |
其他行为 | 严格执行医保服务协议的各项条款。违反协议的其他事项,每次扣1分;因违约违规、投诉举报等被医保部门约谈的,每次扣2分;被暂停拨付医保费用的,每次扣3分;被中止协议的,每次扣10分。 | ||
注:1.医保基金稽核的评价工作采取非全量数据检查和年度全量数据检查相结合的方式。非全量数据检查每次扣减0.1分;年度全量数据检查按查处违规事项扣减相应分数。
2.基础管理(15分),行为规范(55分),服务质量(10分),数据指标(20分),共计100分。
附件3
仅个账业务信用评价表
一级指标 | 二级指标 | 考核内容及要求 | 评分标准 |
基础管理 (40分) | 1.机构设置 | 建立医保管理部门,配备专(兼)职管理人员,明确并履行管理职责。 | 达不到要求扣4分 |
2.诊疗资质 | ①在《医疗机构执业许可证》《药品经营许可证》《营业执照》确认的经营地址为参保人员提供诊疗、配售药品服务并申报结算医保费用;②不得为非定点医药机构、中止医保协议期间的定点医药机构或其他机构提供医保结算;③在《医疗机构执业许可证》《营业执照》许可范围内开展经营活动;④卫生技术人员注册单位与实际单位相符。 | 每项达不到要求扣4分 | |
3.规章制度 | 建立健全医保基金使用内部管理制度,包括医保管理制度、财会制度、统计信息管理制度、药品耗材管理制度等。 | 每缺一项制度扣2分 | |
4.信息系统 | ①做好医保网络安全接入工作,确保医保专网安全。做好医保结算系统、信息接口及业务终端安全管理。配合医保部门开展攻防演练和网络安全检查等相关工作;②做好医保结算数据安全管理,保护参保人个人数据,不得非法对外提供、交易医保相关信息数据;③做好医保结算系统运维管理工作,确保医保业务稳定、不间断运行;④按照医保信息化建设要求,在规定时间内做好定点端系统调整优化、医保相关接口改造等工作,实现与医保信息系统有效对接。 | ①②出现网络安全或数据安全事件每次扣2分;③达不到要求扣1分;④每项达不到要求扣0.5分 | |
5.价格管理 | ①严格执行医保部门制定的医药价格政策,不得对医保患者实行不公平、歧视性高价;②按明码标价要求公示药品、医用耗材价格,同商品名、同剂型、同规格医保药品,乙方的医保记账零售价格不得高于非医保零售价格(包括折扣价、优惠价等);③收费印章与定点医药机构名称应当相符(已报备除外);④非公立医疗机构的医保药品整体价格应持续保持在省确立的年度量价比较指数监测值范围内。 | 每项达不到要求扣2分 | |
基础管理 (40分) | 6.医保编码 | ①按规定及时做好编码工作,及时入库,动态调整,国家赋码后同步更新;②配合做好医保目录、费用结算清单等国家统一编码落地实施工作;③做好医保药品、医保药师等基础数据库的维护与对照工作,实时上传医保服务相关原始数据;④做好药品、耗材国家标准编码准确对应工作,定期校验药品、医用耗材编码,并按要求上报校验结果。 | 每项达不到要求扣2分 |
7.报送制度 | ①按要求报送医保基金拨付使用和药品、医用耗材货款结算拨付情况;②定点医药机构信息发生变更后按要求办理变更备案手续;③药师资质、执业信息发生变化的,及时在国家平台提交新增、归档或信息变更维护申请;④按要求报送智能审核、稽核检查所需资料。 | 每项达不到要求扣4分 | |
8.追溯码采集 | 按照追溯码信息采集长效机制相关要求,完整、规范、及时上传追溯码数据,确保达到接入率、上传率、无码率、准确率等指标要求。 | 未按要求接入的,每次扣0.1分;上传率未达要求的,每次扣0.2分;无码率未达要求的,每次扣0.2分;准确率未达要求的,每次扣0.2分。 全年最多扣2分。 | |
9.数据质量 | ①确保向医疗保障经办机构传输的参保人员就医、结算及其他相关信息均由信息系统自动生成;②严格执行信息网络管理有关规定,做好数据备份;③传输数据不得人为篡改作假;④及时、准确、完整上传进销存数据,并做好数据质控工作。 | 达不到要求扣4分 | |
10.配合检查 | 配合医疗保障部门开展稽核考核工作,按规定在稽核、考核文书上签字确认。 | 达不到要求扣4分 | |
行为规范 (50分) | 11.就医核验 | ①执行实名就医和购药管理规定,核验参保人员的医保有效凭证,做到人证相符,参保人员因年老体弱、行动不便等原因需要别人代取药的,应执行实名就医和购药管理规定,核实本人和代购人的医保有效凭证,并做好信息登记;②不得以任何理由收集、留存参保人员医保有效凭证。 | 每项达不到要求扣2分 |
行为规范 (50分) | 12.知情同意 | ①公布医保就医流程、设置明显的就医标识;②不得通过虚假宣传、返现回扣、赠送贵重物品等方式,诱导参保人员就医或消费;③药品及其他商品分类分区管理,并对所售药品、医用耗材设立明确的医保支付标识。 | 每项达不到要求扣2分 |
13.档案管理 | ①按照规定保管财务账目、会计凭证、处方、费用明细、药品和医用耗材出入库记录等资料。 | 达不到要求扣4分 | |
14.医保码应用 | 支持医保码就医购药全流程应用,每月准确上传全流程应用码数据。 | 每月达不到要求扣0.4分 | |
15.异地就医 | ①在显著位置悬挂医保部门统一样式的医保定点标识,张贴“医保卡全省‘一卡通行’”或“省内·跨省刷卡结算”标识,方便参保人员辨认购药;②按规定对异地就医参保人员提供合理的就医购药服务,与本地参保人员一并纳入医保管理服务,无正当理由不得拒绝为异地参保人员提供医保个人账户刷卡服务。 | 每项达不到要求扣2分 | |
16.药耗管理 | ①建立健全药品、医用耗材“进、销、存”全流程记录和管理制度、供应制度,确保药品、医用耗材使用可追溯性;②不得出现药品、医用耗材“溢库”问题;③严格掌握药品限定支付范围并留存用药依据便于核查;④在业务配备能力范围内,储备医保目录内药品;⑤严格落实药品、耗材“带码采购”工作。 | ①③④⑤达不到要求每项扣2分;②达不到要求扣4分 | |
服务质量 (10分) | 17.宣传培训 | ①建立医保政策宣传专区,政策宣传内容要及时更新替换;②建立定期培训制度,每季度至少组织1次对医务人员的医保政策培训,保存好相关培训资料;③遇到重大政策调整时,要及时组织专项培训。 | 每项达不到要求扣1分 |
18.便民服务 | ①设立导医台或医保咨询窗口,为参保人员提供就医指引和日常医保政策解答;②建设有医保工作站(点)的医药机构,应按照《山东省标准化医保工作站(点)建设规范》标准建设,有开展医保服务所需的服务场地和网络软硬件条件,合理设置医保服务窗口和配备工作人员,在明显位置设置医疗保障官方标识,公示医保服务事项,摆放办事指南或相关折页,按《山东省基层医疗保障服务事项清单》明确的医保服务事项为参保人员提供医保服务。 | 每项达不到要求扣1分;因达不到服务标准被取消医保工作站(点)的扣2分。 | |
服务质量 (10分) | 19.服务成效 | 医疗机构应主动提供医保服务,对参保人员提出的医保方面的合理要求,不得以任何理由拒绝、推诿、拖延。 | 如发生群众投诉,经属地医保部门核查属实的,每次扣1分;被省级及以上部门通报的,扣2分;造成重大影响的,扣5分。 |
20.个人账户 | ①按规定为符合刷卡条件的参保人员提供刷卡或使用医保码就医购药服务,确保医保卡“一卡通行”通畅;②支持参保人员本地及省内医保个人账户家庭共济就医结算服务。 | 每项达不到要求扣4分 | |
21.应急预案 | 制定应急预案,因信息系统出现故障并影响参保人员就医结算时,须及时通知医疗保障经办机构并启动应急预案,做好解释工作。 | 达不到要求扣2分 | |
其他行为 | 严格执行医保服务协议的各项条款。违反协议的其他事项,每次扣2分;因违约违规、投诉举报等被医保部门约谈的,每次扣4分;被暂停拨付医保费用的,每次扣10分;被中止协议的,每次扣20分。 | ||
注:1.医保基金稽核的评价工作采取非全量数据检查和年度全量数据检查相结合的方式。非全量数据检查每次扣减0.1分;年度全量数据检查按查处违规事项扣减相应分数。
2.基础管理(40分),行为规范(50分),服务质量(10分),共计100分。
附件4
数据指标信用评价表(住院)
序号 | 指标名称 | 评价对象 | 计算公式 | 分值 | 评分标准 |
1 | 医疗总费用增长率 | 全口径 | 住院医疗总费用增长率=(本年度住院医疗总费用/上年度住院医疗总费用-1)×100% 预测性指标执行率=全年医保住院按项目基本医疗基金支出额/年初预测性指标(职工居民合计) | 3 | ①住院医疗总费用增长率高于0的,每高0.1个百分点扣0.1分,最高扣1分。 ②住院医疗总费用增长率高于全市平均水平的,每高0.1个百分点扣0.1分,最高扣1分。 ③预测性指标执行率高于全市平均水平的,每高0.1个百分点扣0.1分,最高扣1分。 |
2 | 人次人数比增长率 | 全口径 | 人次人数比=住院总人次/住院总人数 人次人数比增长率=本年度人次人数比-上年度人次人数比 | 2 | 人次人数比增长率高于0的,每高于0.1百分点扣0.1分,最高扣2分。 |
3 | 药品费用占比 | 全口径 | 药品费用占比=住院药品费用总额/住院医疗总费用(国谈药品除外) | 1 | 药品费用占比高于同级别医疗机构平均水平5-10%(含)的,扣0.4分,10-15%(含)的扣0.6分,15-20%(含)的扣0.8分,20%以上的扣1分,最高扣1分。 |
4 | 日均检验检查费用增长率 | 全口径 | 日均检验检查费用=检验检查总费用/住院天数 日均检验检查费用增长率=(本年度日均检验检查费用/上年度日均检验检查费用-1)×100% | 1 | 日均检验检查费用增长率高于0的,每高于0.1个百分点扣0.1分,最高扣1分。 |
5 | 住院次均费用增长率 | 全口径 | 住院次均费用=住院医疗总费用/住院总人次 住院次均费用增长率=(本年度住院次均费用/上年度住院次均费用-1)×100% | 1 | 住院次均费用增长率高于0的,每高于0.1百分点扣0.1分,最高扣1分。 |
6 | 次均统筹范围外费用增长率 | 全口径 | 统筹范围外费用=全额自付费用+部分自付费用 次均统筹范围外费用=统筹范围外费用总额/住院总人次 次均统筹范围外费用增长率=(本年度次均统筹范围外费用/上年度次均统筹范围外费用-1)×100% | 2 | 次均统筹范围外费用增长率高于0的,每高于0.1个百分点扣0.05分,最高扣2分。 |
7 | 每权重次均住院费用 | DRG付费定点医疗机构 | 每权重次均住院费用=住院医疗总费用/总权重 | 1 | 每权重次均住院费用高于同类别医疗机构平均水平 0-10%(含)的扣0.5分,10%以上的扣1分,最高扣1分。 |
8 | 低权重病例数占比 | DRG付费定点医疗机构 | 低权重病例占比=权重≤1病例数/纳入DRG付费管理的病例数×100% | 3 | 全市同类别医疗机构按低权重病例占比从高至低进行降序排列,排名前20%(含)的扣3分,排名20%-40%(含)的扣2分,排名40%-60%(含)的扣1分,排名60%-80%(含)的扣0.5分。 |
9 | 低权重病例数占比增长率 | DRG付费定点医疗机构 | 低权重病例占比增长率=本年度低权重病例占比-上年度低权重病例占比 | 3 | 低权重病例占比增长率高于0的,每高于0.1个百分点扣0.1分,最高扣3分。 |
10 | 病例组合指数(CMI) | DRG付费定点医疗机构 | 病例组合指数(CMI)=总权重/纳入DRG付费管理的病例数 | 1 | CMI低于同类别医疗机构平均水平0-10%(含)的扣0.5分,10%以上的扣1分,最高扣1分。 |
11 | 职工每床日费用增长率 | 按床日付费医疗机构 | 职工每床日费用=职工按床日结算住院总费用/结算总床日数 职工每床日费用增长率=(本年度职工每床日费用/上年度职工每床日费用-1)×100% | 1 | 职工每床日费用增长率高于0的,每高于0.1个百分点扣0.1分,最高扣1分。 |
12 | 居民每床日费用增长率 | 按床日付费医疗机构 | 居民每床日费用=居民按床日结算住院总费用/结算总床日数 居民每床日费用增长率=(本年度居民每床日费用/上年度居民每床日费用-1)×100% | 1 | 居民每床日费用增长率高于0的,每高于0.1个百分点扣0.1分,最高扣1分。 |
13 | 60天/6个月以上结算床日数 占比增长率 | 按床日付费医疗机构 | 60天/6个月以上结算床日数占比增长率=本年度精神障碍60天/医疗康复6个月以上结算床日数占比-上年度精神障碍60天/医疗康复6个月以上结算床日数占比 | 1 | 60天/6个月以上结算床日数占比增长率高于0的,每高0.1个百分点扣0.1分,最高扣1分。 |
14 | 人均住院床日增长率 | 按床日付费医疗机构 | 人均住院床日=按床日结算住院总床日数/总人数 人均住院床日增长率=(本年度人均住院床日/上年度人均住院床日-1)×100% | 1 | 人均住院床日增长率高于全市平均水平的,每高于0.1个百分点扣0.1分,最高扣1分。 |
15 | 职工生育剖宫产比例增长率 | 生育住院定点医疗机构 | 剖宫产比例=职工剖宫产人数/职工生育总人数×100% 剖宫产比例增长率=本年度剖宫产比例-上年度剖宫产比例 | 1 | 职工生育剖宫产比例增长率高于0的,每高于0.1个百分点扣0.05分,最高扣1分。 |
16 | 女职工生育个人自付比例 | 生育住院定点医疗机构 | 女职工生育个人自付比例=1-生育住院报销额/生育住院医疗总费用 | 1 | 女职工生育个人自付比例高于全市平均水平的,每高于0.1百分点扣0.1分,最高扣1分。 |
17 | 中治率 | “中医日间病房”定点 医疗机构 | 中治率=(中药饮片费用+中医适宜技术费用)/住院医疗总费用×100% | 1 | 中治率低于全市平均水平的,每低于0.1个百分点扣0.1分,最高扣1分。 |
备注:①各定点医疗机构按照本院支付方式、服务类别分别扣分,最终合计扣分值按照本院总分值占数据指标总分值的占比等权重计算。
②每权重次均住院费用通过统计学方式对全市单个病例医疗费用排名前5%的病例予以裁剪后计算。
③中治率计算范围为纳入“中医日间病房”结算的病例,中医适宜技术依据烟医保发〔2024〕29号文件规定。
附件5
数据指标信用评价表(门诊)
序 号 | 指标名称 | 评价对象 | 评价维度 | 主要内容 | 分 值 | 评分标准 |
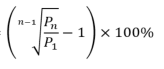
1 | 月度总费用平均增长率 | 全口径 | 横向 | 月度总费用平均增长率=
(P1为第一个月总费用,Pn为最后一个月总费用,n为总月数) | 2 | 月度总费用平均增长率高于全市平均水平的,每高于0.1个百分点扣0.1分,最高扣2分。 |
2 | 次均门诊费用增长率 | 全口径 | 纵向 | 次均门诊费用=门诊总费用/门诊就诊总人次 次均门诊费用增长率=(本年度次均门诊费用/上年度次均门诊费用-1)×100%(同一参保人、同一自然日、同一医疗机构多次结算的人次计为1人次) | 2 | 次均门诊费用增长率高于0的,每高于0.1百分点扣0.1分,最高扣2分。 |
3 | 中药饮片异常费用占比 | 全口径 | 横向 | 中药饮片异常费用占比=费用异常的处方费用/中药饮片总费用(利用统计学95分位法确定费用异常标准,高于该标准的计为费用异常处方) | 2 | 全市中药饮片异常费用占比高于0的从高至低降序排列,排名前20%(含)的扣2分,排名20%-40%(含)的扣1.5分,排名40%-60%(含)的扣1分,排名60%-80%(含)的扣0.5分。 |
4 | 人均中医民族医诊疗项目费用异常人数占比 | 全口径 | 横向 | 人均中医民族医诊疗项目费用异常人数占比=医疗机构费用异常人数/就诊总人数(按医疗机构计算人均中医民族医诊疗项目费用,利用统计学95分位法确定异常标准,高于该标准的参保人计入费用异常人数) | 2 | 全市人均中医民族医诊疗项目费用异常人数占比高于0的从高至低降序排列,排名前20%(含)的扣2分,排名20%-40%(含)的扣1.5分,排名40%-60%(含)的扣1分,排名60%-80%(含)的扣0.5分。 |
5 | 人均检验检查费用 增长率 | 全口径 | 纵向 | 人均检验检查费用=检验检查总费用/就诊总人数 人均检验检查费用增长率=(本年度人均检验检查费用/上年度人均检验检查费用-1)×100% | 2 | 人均检验检查费用增长率高于0的,每高于0.1个百分点扣0.1分,最高扣2分。 |
6 | 甲类门慢人均费用 增长率 | 门诊慢特病定点机构 | 纵向 | 甲类门慢人均费用=甲类门诊慢特病医疗总费用/甲类门诊慢特病就诊人数 甲类门慢人均费用增长率=(本年度甲类门慢人均费用/上年度甲类门慢人均费用-1)×100% | 1 | 甲类门慢人均费用增长率高于0的,每高于0.1个百分点扣0.1分,最高扣1分。 |
7 | 乙类门慢人均费用 增长率 | 门诊慢特病定点机构 | 纵向 | 乙类门慢人均费用=乙类门诊慢特病医疗总费用/乙类门诊慢特病就诊人数 乙类门慢人均费用增长率=(本年度乙类门慢人均费用/上年度乙类门慢人均费用-1)×100% | 1 | 乙类门慢人均费用增长率高于0的,每高于0.1个百分点扣0.1分,最高扣1分。 |
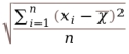
8 | 职工普通门诊人均费用 | 职工普通门诊定点机构 | 横向 | 职工普通门诊人均费用=普通门诊医疗总费用/普通门诊就诊总人数 同级别机构人均费用标准差=
(n为同级别机构数量,
为同级别各机构人均费用,
为同级别机构人均费用) | 2 | 职工普通门诊人均费用高于同级别医疗机构平均水平2(含)个标准差扣2分,高于1.5(含)-2个标准差扣1.5分,高于1(含)-1.5个标准差扣1分,高于0.5(含)-1个标准差扣0.5分。 |
9 | 职工普通门诊人均费用 增长率 | 职工普通门诊定点机构 | 横向 | 职工普通门诊人均费用增长率=(本年度职工普通门诊人均费用/上年度职工普通门诊人均费用-1)×100% | 2 | 职工普通门诊人均费用增长率高于全市同类别机构平均水平的从高至低降序排列,排名前20%(含)的扣2分,排名20%-40%(含)的扣1.5分,排名40%-60%(含)的扣1分,排名60%-80%(含)的扣0.5分。 |
10 | 双通道处方流转总费用 增长率 | 双通道药品处方流转医疗机构 | 纵向 | 双通道处方流转总费用增长率=(本年度双通道处方流转总费用/上年度双通道处方流转总费用-1)×100% | 2 | 双通道处方流转总费用增长率高于0的,每高于0.1个百分点扣0.1分,最高扣2分。 |
11 | 人均药品费用增长率 | 双通道药店 | 纵向 | 人均药品费用=药品总费用/就诊总人数 人均药品费用增长率=(本年度人均药品费用/上年度人均药品费用-1)×100% | 2 | 人均药品费用增长率高于0的,每高于0.1个百分点扣0.1分,最高扣2分。 |
备注:①各定点医药机构按照本院支付方式、服务类别分别扣分,最终合计扣分值按照本院总分值占数据指标总分值的占比等权重计算;
②新增双通道药品年末根据实际情况统一核算;
③人均药品费用增长率计算双通道药店药品总费用排名前三十位药品的人均药品费用增长率。
附件6
十大正规网赌网址药品(医用耗材)集采政策落地执行情况评估指标表
序号 | 评估内容 | 分值 | 评估指标 | 评估依据 | 评分标准(单项分值扣完为止) |
1 | 集采报量准确性情况 | 5分 | 无正当理由,药品(医用耗材)集采报量严重不准,导致中选产品实际采购量超出约定采购量4倍 | 国家、省级医保部门监测通报。 | 未达要求的药品占该批次药品总品种数10%及以下的,每批次扣0.3分,占比在10%以上的,每批次扣0.5分;每种医用耗材扣0.2分 |
5分 | 上年度有采购(临采除外),当年度未报量,但大量采购集采产品或可替代药品(仅公立医疗机构) | 国家、省级医保部门监测通报,各级审计(或巡视、巡察等)发现反馈。 | 每集采批次扣1分 | ||
2 | 集采周期内采购序时进度 情况 | 10分 | 无正当理由,序时进度达到50%及以上的相应集采批次,其实际采购进度低于相应序时进度的50%及以上 | 国家、省级或市级医保部门监测通报。 | 采购进度低于相应序时进度50%及以下(不含0)的药品占该批次药品总品种数10%及以下的,每批次扣0.2分,占比在10%以上的,每批次扣0.4分,采购进度为0的药品占该批次药品总品种数10%及以下的,每批次扣0.4分,占比在10%以上的,每批次扣0.6分;每次每种医用耗材扣0.4分 |
3 | 集采周期满采购量完成情况 | 30分 | 无正当理由,未完成约定采购量 | 国家、省或市级医保部门监测通报,各级审计(或巡视、巡察等)发现反馈。 | 未达要求的药品占该批次药品总品种数10%及以下的,每批次扣3分,占比在10%以上的,每批次扣5分;每种医用耗材扣2分 |
15分 | 无正当理由,非中选药品采购使用量超过中选产品采购量 | 国家、省或市级医保部门监测通报,各级审计(或巡视、巡察等)发现反馈。 | 未达要求的药品占该批次药品总品种数10%及以下的,每批次扣2分,占比在10%以上的,每批次扣3分;每种医用耗材扣1分 | ||
15分 | 可替代药品采购量超过上年度采购量 | 国家、省或市级医保部门监测通报,各级审计(或巡视、巡察等)发现反馈。 | 未达要求的药品占该批次药品总品种数10%及以下的,每批次扣2分,占比在10%以上的,每批次扣3分;每种医用耗材扣1分 | ||
4 | 网上采购情况 | 5分 | 药品或医用耗材年度线下采购金额占比大于总采购金额的1% | 国家、省级医保部门监测通报、各级审计(或巡视、巡察等)发现反馈。 | 每次扣2.5分 |
5分 | 药品或医用耗材线下采购,未在平台报备 | 国家、省级医保部门监测通报、各级审计(或巡视、巡察等)发现反馈。 | 每次扣2.5分 | ||
5 | 其他 | 10分 | 按照药品和医用耗材集采结余留用工作要求,如实填报结余留用考核相关指标信息 | 国家、省级或市级医保部门监测通报。 | 每次扣1分 |
按照集采直接结算工作要求及时做好医药企业通过招采系统上传的中选药品、耗材结算费用明细和发票审核工作,直接结算货款不足部分按要求及时缴纳至医保经办机构相应账户 | 国家、省级或市级医保部门监测通报。 | 每次扣1分 | |||
与集采相关联的其他非集采产品大量非正常使用 | 国家、省级医保部门监测通报、各级审计(或巡视、巡察等)发现反馈。 | 每次扣5分。如被违法违纪查处的,扣10分。 | |||
“一刀切”停用未中选药品和医用耗材 | 国家、省级医保部门监测通报、各级审计(或巡视、巡察等)发现反馈、投诉举报核实的。 | 每次扣5分。如被违法违纪查处的,扣10分。 |
说明:①正当理由包含但不限于中选产品严重供应不足、患者大量减少、卫健部门药品使用指南要求换代、器官移植患者替换困难等不可抗原因,认定正当理由医疗机构应出具相应佐证材料。
②集采政策落地执行情况评估结果将作为医疗机构协议考核中的集采工作项评分以及年度评先树优的重要依据。
③该评估表分值,年终将折算为协议履行评价指标相应分值纳入考核。
附件7
定点医药机构医保信用评价报告
评价周期:XXXX年01月01日-XXXX年12月31日
基本信息
机构 名称 | 统一社会 信用代码 | ||||||
机构 类型 | 医疗机构/药店 | 机构 等级 | X级或药店 | 医保编码 | |||
机构 地址 | |||||||
联系 电话 | 医保区划 | 法定 代表人 | |||||
信用评价结果
信用 等级 | 信用 总分 | 协议 履行 | 基金 监管 | 社会 信用 | 表彰 奖励 | 一票 否决 |
医保信用风险
表彰(次) | 司法处罚(次) | 行政处罚(次) | 协议处理(次) |
信用评价指标详情列表
序号 | 一级指标 | 二级指标 | 三级指标 | 指标评分(分) |
1 | ||||
2 | ||||
3 | ||||
4 | ||||
5 | ||||
6 | ||||
7 | ||||
8 |
医保信用事件详情列表
事件 编号 | 事件类型 | 事件名称 | 事件 开始日期 | 事件 截止日期 | 处理日期 | 处理 状态 |
1 | ||||||
2 | ||||||
3 | ||||||
4 | ||||||
5 | ||||||
6 | ||||||
7 | ||||||
8 |
附件8
定点医药机构医保信用评级告知书
文号: 〔 〕
机构名称 | |||||||
统一社会信用代码 | |||||||
违规行为 | |||||||
医疗保障经办机构处理意见 | 本次扣减信用分数 分;本年度现有信用分数 分(总分100分)。 予以 处罚。 公章 日期: | ||||||
送达人 签字 | 日期 | 接收人 签字 | 日期 | ||||
备注:如有异议需15个工作日内提出书面申请,逾期视同无异议。 | |||||||
本文书一式两份,经办机构留存一份,医药机构留存一份。
附件9
定点医药机构医保信用异议申请书
评级告知书文号:
机构名称 | |||
统一社会 信用代码 | 联系电话 | ||
异议申请内容:(可附相关证明材料) 公章: 日期: | |||
医疗保障经办机构意见: 公章 日期: | |||
附件10
定点医药机构医保信用修复申请书
医药机构 | 机构名称 | |||
统一社会 信用代码 | 联系电话 | |||
不良信用 | 文书号 | 时间区间 | ||
本单位声明,已主动纠正失信行为、消除不良影响、履行处理决定,现申请信用修复,后附整改报告和佐证材料。 公章: 日期: | ||||
医疗保障经办机构意见: 公章 日期: | ||||
本文书一式两份,经办机构留存一份,医药机构留存一份。
附件11
定点医药机构医保信用修复告知书
医药机构 | 机构名称 | |
统一社会 信用代码 | ||
你单位申请的(文书号 )信用修复申请现已完成认定,修复结果为 通过/未通过 ,特此告知。 公章: 日期: | ||
本文书一式两份,经办机构留存一份,医药机构留存一份。


下载